четвер, 24 жовтня 2024 р.

11 клас класна година 25.10.2024

 Правила поведінки на осінніх канікулах

Перейдіть за посиланням https://meet.google.com/hda-nuyt-ogo



11 клас геометрія 25.10.2024

 Тема: "Циліндр та його елементи."

Перейдіть за посиланням https://meet.google.com/hda-nuyt-ogo

Презентація

Завдання

Фото виконаної роботи надіслати у вайбер  за номером  068 065 32 70

Завдання виконати до 08.00 26.10.2024

5 клас математика 25.10.2024

 Тема: "Сума кутів трикутника"

Перейдіть за посиланням https://meet.google.com/afw-pumd-kci



Фото виконаної роботи надіслати у вайбер  за номером  068 065 32 70

Завдання виконати до 08.00 26.10.2024



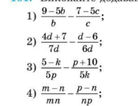
6 клас математика 25.10.2024

 Самостійна робота

"Множення та ділення звичайних дробів."

Завдання

ОБОВ'ЯЗКОВО записати розв'язування останнього завдання до зошита!!!

Фото виконаної роботи надіслати у вайбер  за номером  068 065 32 70

Завдання виконати до 08.00 26.10.2024

9 клас геометрія 25.10.2024

Контрольна робота на тему: "Координати на площині."

Перейдіть за посиланням https://meet.google.com/qov-fdju-eew


Завдання виконуємо на онлайн уроці

Фото виконаної роботи надіслати у вайбер  за номером  068 065 32 70


8 клас геометрія 25.10.2024

 Контрольна робота на тему: "Чотирикутники."

Завдання

Фото виконаної роботи надіслати у вайбер  за номером  068 065 32 70

Завдання виконати до16.00 25.10.2024

середа, 23 жовтня 2024 р.

6 клас математика 24.10.2024

 Тема: "Знаходження числа за значенням його дробу"

Перегляньте відео

Завдання

Фото виконаної роботи надіслати у вайбер  за номером  068 065 32 70

Завдання виконати до 08.00 25.10.2024

5 клас математика 24.10.2024

 Тема: "Трикутники."

Перегляньте відео

Особливу увагу зверніть на оформлення задач!!!

Завдання Робимо фото або скрін всього розв'язку, а не лише оцінки.

Фото виконаної роботи надіслати у вайбер  за номером  068 065 32 70

Завдання виконати до 08.00 25.10.2024



вівторок, 22 жовтня 2024 р.

5 клас математика 23.10.2024

 Тема: "Трикутник. Види трикутників."

Перейдіть за посиланням https://meet.google.com/gmj-xcvm-oes

Дошка

Домашнє завдання: с.108-111 опрацювати повторити №372, 374 розв'язати

Фото виконаної роботи надіслати у вайбер  за номером  068 065 32 70

Завдання виконати до 08.00 24.10.2024

6 клас математика 23.10.2024

 Тема: "Знаходження дробу від числа."

Перейдіть за посиланням https://meet.google.com/edo-ecsn-qmv

Презентація

Завдання

Фото виконаної роботи надіслати у вайбер  за номером  068 065 32 70

Завдання виконати до 08.00  24.10.2024

8 клас алгебра 23.10.2024

 Тема: "Множення дробів. Піднесення дробу до степеня."

Перегляньте відео.

Пригадайте властивості степеня. ВИПИШІТЬ формули з відео.

Завдання

Фото виконаної роботи надіслати у вайбер  за номером  068 065 32 70

Завдання виконати до 08.00  24.10.2024

9 клас алгебра 23.10.2024

 Тема: "Функція. Властивості функції."

Перейдіть за посиланням https://meet.google.com/ndr-teju-kjc

Презентація

Фото виконаної роботи надіслати у вайбер  за номером  068 065 32 70

Завдання виконати до 08.00  24.10.2024

11 клас алгебра 23.10.2024

 Тема: "Показникові нерівності."

Перейдіть за посиланням https://meet.google.com/kwt-bmna-tvc

Презентація

Завдання

Фото виконаної роботи надіслати у вайбер  за номером  068 065 32 70

Завдання виконати до 08.00 24.10.2024

понеділок, 21 жовтня 2024 р.

11 клас геометрія 22.10.2024

Контрольна робота на тему: "Многогранники."


Фото виконаної роботи надіслати у вайбер  за номером  068 065 32 70

Завдання виконати до 18.00  22.10.2024

9 клас геометрія 22.10.2024

 Тема: "Рівняння кола. Рівняння прямої."

Перейдіть за посиланням https://meet.google.com/eoh-itjj-pqi

Дошка

Домашнє завдання:

Фото виконаної роботи надіслати у вайбер  за номером  068 065 32 70

Завдання виконати до 08.00 23.10.2024



8 клас геометрія 22.10.2024

 Тема: "Розв'язування задач."

Перейдіть за посиланням https://meet.google.com/xcs-vowq-via

Дошка

Завдання

Фото виконаної роботи надіслати у вайбер  за номером  068 065 32 70

Завдання виконати до 08.00 22.10.2024

6 клас математика 22.10.2024

 Тема: "Ділення звичайних дробів."

Перейдіть за посиланням https://meet.google.com/rse-udun-tjp

Дошка

Домашнє завдання:

Знайдіть значення виразу

Фото виконаної роботи надіслати у вайбер  за номером  068 065 32 70

Завдання виконати до 08.00 23.10.2024




5 клас математика 22.10.2024

 Тема: "Трикутник та його види. "

Перейдіть за посиланням https://meet.google.com/dhd-pfus-ugj

Презентація

Завдання

Фото виконаної роботи надіслати у вайбер  за номером  068 065 32 70

Завдання виконати до 08.00 23.10.2024

неділя, 20 жовтня 2024 р.

9 клас алгебра 21.10.2024

Контрольна робота за темою: "Нерівності."

Перейдіть за посиланням https://meet.google.com/ntw-mysj-rnj

Завдання

ОБОВ'ЯЗКОВО!!!!! Розв'язування завдання №1 записати до зошита та зробити фото!!!

Завдання виконуємо під час онлайн уроку

Фото виконаної роботи надіслати у вайбер  за номером  068 065 32 70

Завдання виконати до 08.00 22.10.2024


8 клас алгебра 21.10.2024

 Контрольна робота на тему: "Раціональні дроби."

Перейдіть за посиланням https://meet.google.com/epb-qqui-fbn

Завдання

Завдання виконуємо під час онлайн уроку

6 клас математика 21.10.2024

 Тема: "Ділення звичайних дробів."

Перейдіть за посиланням https://meet.google.com/epo-pswk-jov

Презентація

Завдання розв'язування завдання 4 ОБОВ'ЯЗКОВО записати до зошита

Фото виконаної роботи надіслати у вайбер  за номером  068 065 32 70

Завдання виконати до 08.00 22.10.2024

5 клас математика 21.10.2024

 Тема: "Многокутники. Рівні фігури."

Перейдіть за посиланням https://meet.google.com/gxq-ytix-djm

Презентація

Підготуйте простий олівець та лінійку

Домашнє завдання: п.13 с.104-105 №351, 353 письмово виконати  у зошиті

Фото виконаної роботи надіслати у вайбер  за номером  068 065 32 70

Завдання виконати до 08.00 22.10.2024

четвер, 17 жовтня 2024 р.

11 клас геометрія 18.10.2024

 Тема: "Площі поверхонь многогранників"

Перейдіть за посиланням https://meet.google.com/aov-pyhn-mku

Дошка

Завдання

Фото виконаної роботи надіслати у вайбер  за номером  068 065 32 70

Завдання виконати до 08.00 19.10.2024

9 клас геометрія 18.10.2024

 Тема: "Рівняння прямої."

Перейдіть за посиланням https://meet.google.com/kzg-gagt-mcm

Презентація

Завдання

Фото виконаної роботи надіслати у вайбер  за номером  068 065 32 70

Завдання виконати до 08.00 19.10.2024

8 клас геометрія 18.10.2024

 Тема: "Квадрат. Властивості квадрата."

Перегляньте відео

Завдання

Фото виконаної роботи надіслати у вайбер  за номером  068 065 32 70

Завдання виконати до 08.00 19.10.2024

6 клас математика 18.10.2024

 Тема: "Множення звичайних дробів."

Перегляньте відео для повторення

Завдання

Фото виконаної роботи надіслати у вайбер  за номером  068 065 32 70

Завдання виконати до 08.00 19.10.2024

5 клас математика 18.10.2024

 Тема: "Види кутів. Вимірювання кутів."

Перейдіть за посиланням https://meet.google.com/gae-jrkm-ftn

Презентація

Домашнє завдання

Фото виконаної роботи надіслати у вайбер  за номером  068 065 32 70

Завдання виконати до 08.00 19.10.2024

середа, 16 жовтня 2024 р.

6 клас математика 17.10.2024

 Тема: "Множення звичайних дробів"

Перейдіть за посиланням https://meet.google.com/izi-whby-tji

Дошка (математика 6 клас урок 34)

Завдання:

Фото виконаної роботи надіслати у вайбер  за номером  068 065 32 70

Завдання виконати до 08.00 18.10.2024



5 клас математика 17.10.2024

 Тема: "Види кутів. Вимірювання кутів."

Перейдіть за посиланням https://meet.google.com/scj-nciq-phn

Відео для повторення

Презентація

Виконати завдання на останньому слайді презентації. Зобразити за допомогою транспортиру кут 45 та 120 градусів

Фото виконаної роботи надіслати у вайбер  за номером  068 065 32 70

Завдання виконати до 08.00 18.10.2024

вівторок, 15 жовтня 2024 р.

11 клас алгебра 16.10.2024

 Тема: "Показникові рівняння."

Перейдіть за посиланням https://meet.google.com/xzc-iqqy-ymx

Дошка

Розв'яжіть рівнянння:

Фото виконаної роботи надіслати у вайбер  за номером  068 065 32 70

Завдання виконати до 08.00 17.10.2024



9 клас алгебра 16.10.2024

 Тема: "Системи числових нерівностей з однією змінною."

Перейдіть за посиланням https://meet.google.com/rsf-oibf-vbc

Дошка

Завдання

Фото виконаної роботи надіслати у вайбер  за номером  068 065 32 70

Завдання виконати до 08.00 17.10.2024

8 клас алгебра 16.10.2024

  Тема: "Додавання та віднімання дробів з різними знаменниками."


Перейдіть за посиланням https://meet.google.com/fma-rjvk-fve


Завдання  Розв'язування завдань 5 та 6 записати до зошита

Фото виконаної роботи надіслати у вайбер  за номером  068 065 32 70

Завдання виконати до 08.00 17.10.2024

6 клас математика 16.10.2024

 Тема: "Множення звичайних дробів."

Повторіть правила множення з минулого уроку.

Виконайте завдання на фото. За потреби скоротіть:

Хлопці І варіант

Дівчата ІІ варіант


Фото виконаної роботи надіслати у вайбер  за номером  068 065 32 70

Завдання виконати до 08.00 17.10.2024

5 клас математика 16.10.2024

 Тема: "Кут. Позначення кутів."

Перейдіть за посиланням https://meet.google.com/zcp-yfzn-qfd

Презентація

Домашнє завдання у презентації

Фото виконаної роботи надіслати у вайбер  за номером  068 065 32 70

Завдання виконати до 08.00 17.10.2024

понеділок, 14 жовтня 2024 р.

11 клас геометрія 15.10.2024

 Тема: "Площа бічної та повної поверхонь многогранників."

Перегляньте відео

Розв'яжіть задачі на фото:


Фото виконаної роботи надіслати у вайбер  за номером  068 065 32 70

Завдання виконати до 08.00 16.10.2024

9 клас геометрія 15.10.2024

Тема: "Рівняння кола."

 Перейдіть за посиланням https://meet.google.com/sbt-vtvg-jcg



Фото виконаної роботи надіслати у вайбер  за номером  068 065 32 70

Завдання виконати до 08.00 16.10.2024

8 клас геометрія 15.10.2024

 Тема: "Паралелограм. Прямокутник. Ромб."

Перейдіть за посиланням https://meet.google.com/oeu-bkyu-qwr

Сьогодні у нас усне опитування за властивостями чотирикутників.

Завдання

Фото виконаної роботи надіслати у вайбер  за номером  068 065 32 70

Завдання виконати до 08.00 16.10.2024

6 клас математика 15.10.2024

 Тема: "Множення звичайних дробів."

Перейдіть за посиланням https://meet.google.com/sdk-sjkz-nsu

Презентація

Завдання

Фото виконаної роботи надіслати у вайбер  за номером  068 065 32 70

Завдання виконати до 08.00 16.10.2024

5 клас математика 15.10.2024

 Тема: "Рівняння."

Перейдіть за посиланням https://meet.google.com/xcd-bnem-quc

Дошка

Завдання

Фото виконаної роботи надіслати у вайбер  за номером  068 065 32 70

Завдання виконати до 08.00 16.10.2024

неділя, 13 жовтня 2024 р.

9 клас алгебра 14.10.2024

Тема: "Системи числових нерівностей з однією змінною. Самостійна робота"

Виконайте завдання:

Фото виконаної роботи надіслати у вайбер  за номером  068 065 32 70

Завдання виконати до 08.00 15.10.2024




8 клас алгебра 14.10.2024

 Тема: "Додавання та віднімання дробів з різними знаменниками."

Перейдіть за посиланням https://meet.google.com/fma-rjvk-fve


Домашнє завдання: Виконати дії

Фото виконаної роботи надіслати у вайбер  за номером  068 065 32 70

Завдання виконати до 08.00 15.10.2024



6 клас математика 14.10.2024

Контрольна робота за темою: "Додавання і віднімання звичайних дробів."
 

Фото виконаної роботи надіслати у вайбер  за номером  068 065 32 70

Завдання виконати до 08.00 15.10.2024

5 клас математика 14.10.2024

 Тема: "Рівняння"

Перейдіть за посиланням https://meet.google.com/wtz-mqsy-ttj

Презентація

Домашнє завдання:

Вивчити правила розв'язання рівнянь. Розв'язати рівняння у презентації (слайд 15)

Фото виконаної роботи надіслати у вайбер  за номером  068 065 32 70

Завдання виконати до 08.00 15.10.2024

четвер, 10 жовтня 2024 р.

11 клас геометрія 11.10.2024

 Тема: "Розв'язування задач."

Повторіть теоретичний матеріал минулих уроків.

Завдання

Фото виконаної роботи надіслати у вайбер  за номером  068 065 32 70

Завдання виконати до 08.00 12.10.2024

9 клас геометрія 11.10.2024

 Тема: "Рівняння кола."

Перегляньте відео

Завдання:

Фото виконаної роботи надіслати у вайбер  за номером  068 065 32 70

Завдання виконати до 08.00 12.10.2024





8 клас геометрія 11.10.2024

 Тема: "Ромб"

Перейдіть за посиланням https://meet.google.com/feb-sdnv-gjz

Презентація

Завдання

Фото виконаної роботи надіслати у вайбер  за номером  068 065 32 70

Завдання виконати до 08.00 12.10.2024

6 клас математика 11.10.2024

 Тема: "Розв'язування задач на додавання та віднімання дробів з різними знаменниками."

Перегляньте відео

Виконати завдання

Детальне розв'язування задачі №6 записати до зошита

Фото виконаної роботи надіслати у вайбер  за номером  068 065 32 70

Завдання виконати до 08.00 12.10.2024

5 клас математика 11.10.2024

 Тема: "Віднімання натуральних чисел."

Перейдіть за посиланням https://meet.google.com/yeb-evig-pzo

Дошка (математика 5 клас урок 30)

Домашнє завдання: №222, 230

Фото виконаної роботи надіслати у вайбер  за номером  068 065 32 70

Завдання виконати до 08.00 12.10.2024

середа, 9 жовтня 2024 р.

6 клас математика 10.10.2024

 Самостійна робота: "Додавання та віднімання дробів з різними знаменниками."

Дівчата 1 варіант

Хлопці 2 варіант

Фото виконаної роботи надіслати у вайбер  за номером  068 065 32 70

Завдання виконати до 08.00 11.10.2024



5 клас математика 10.10.2024

 Тема: "Віднімання натуральних чисел."

Перейдіть за посиланням https://meet.google.com/yeb-evig-pzo

Презентація

Домашнє завдання у презентації (слайд 10-11)

Фото виконаної роботи надіслати у вайбер  за номером  068 065 32 70

Завдання виконати до 08.00 11.10.2024

вівторок, 8 жовтня 2024 р.

11 клас алгебра 09.10.2024

 Тема: "Показникові рівняння."

Перейдіть за посиланням https://meet.google.com/fqs-fujq-ivv

Дошка

Домашнє завдання: №2.6 розв'язати

Фото виконаної роботи надіслати у вайбер  за номером  068 065 32 70

Завдання виконати до 08.00 10.10.2024

9 клас алгебра 09.10.2024

Тема: "Системи числових нерівностей з однією змінною."

Перейдіть за посиланням https://meet.google.com/hen-fdpa-qzk

Презентація

Фото виконаної роботи надіслати у вайбер  за номером  068 065 32 70

Завдання виконати до 08.00 10.10.2024

8 клас алгебра 09.10.2024

 Тема: "Додавання та віднімання дробів з різними знаменниками."

Перегляньте відео

Завдання

Фото виконаної роботи надіслати у вайбер  за номером  068 065 32 70

Завдання виконати до 08.00 10.10.2024

6 клас математика 09.10.2024

 Тема: "Розв'язування задач на додавання та віднімання звичайних дробів."

Перейдіть за посиланням https://meet.google.com/tgb-dojg-apd

Дошка

Домашнє завдання:


Фото виконаної роботи надіслати у вайбер  за номером  068 065 32 70

Завдання виконати до 08.00 10.10.2024

5 клас математика 09.10.2024

 Тема: "Переставна та сполучна властивості додавання."

Перейдіть за посиланням https://meet.google.com/ugh-nuur-bfp

Дошка (математика 5 клас урок 28)

Домашнє завдання:

Фото виконаної роботи надіслати у вайбер  за номером  068 065 32 70

Завдання виконати до 08.00 10.10.2024



понеділок, 7 жовтня 2024 р.

11 клас геометрія 08.10.2024

 Тема: "Площі бічної та повної поверхонь многогранників."

Перегляньте відео

Виконайте завдання

Фото виконаної роботи надіслати у вайбер  за номером  068 065 32 70

Завдання виконати до 08.00 09.10.2024

9 клас геометрія 08.10.2024

 Тема: "Координати середини відрізка. Відстань між двома точками."

Повторіть матеріал минулого уроку. Перегляньте конспект

Виконайте завдання

Фото виконаної роботи надіслати у вайбер  за номером  068 065 32 70

Завдання виконати до 08.00 09.10.2024

5 клас математика 08.10.2024

 Тема: "Властивості додавання."

Перегляньте відео 

Виконати завдання онлайн

Фото виконаної роботи надіслати у вайбер  за номером  068 065 32 70

Завдання виконати до 08.00 09.10.2024

6 клас математика 08.10.2024

 Тема: "Додавання та віднімання дробів з різними знаменниками."

Перейдіть за посиланням https://meet.google.com/nzk-tahp-hje

Дошка (математика, 6 клас, урок27)

Завдання

Фото виконаної роботи надіслати у вайбер  за номером  068 065 32 70

Завдання виконати до 08.00 09.10.2024

8 клас геометрія 08.10.2024

 Тема: "Властивості прямокутника."

Перегляньте відео

Завдання

Фото виконаної роботи надіслати у вайбер  за номером  068 065 32 70

Завдання виконати до 08.00 09.10.2024

неділя, 6 жовтня 2024 р.

9 клас алгебра 07.10.2024

 Тема: "Розв'язування числових нерівностей з однією змінною."

Перейдіть за посиланням https://meet.google.com/hen-fdpa-qzk

Дошка  (алгебра, 9 клас, урок11)

Фото виконаної роботи надіслати у вайбер або телеграм за номером  068 065 32 70

Завдання виконати до 08.00 08.10.2024

8 клас алгебра 07.10.2024

 Тема: "Додавання та віднімання дробів з однаковими знаменниками."

Перейдіть за посиланням https://meet.google.com/cjk-zquf-ubt

Дошка

Фото виконаної роботи надіслати у вайбер або телеграм за номером  068 065 32 70

Завдання виконати до 08.00 08.10.2024

6 клас математика 07.10.2024

 Тема: "Додавання та віднімання дробів з різними знаменниками."

Перейдіть за посиланням https://meet.google.com/nzk-tahp-hje

Дошка (математика, 6 клас, урок 26)

Домашнє завдання:

Фото виконаної роботи надіслати у вайбер або телеграм за номером  068 065 32 70

Завдання виконати до 08.00 08.10.2024



5 клас математика 07.10.2024

Тема: "Додавання натуральних чисел."
Перейдіть за посиланням https://meet.google.com/kiq-zzjx-cjc

Фото виконаної роботи надіслати у вайбер або телеграм за номером  068 065 32 70

Завдання виконати до 08.00 08.10.2024

четвер, 3 жовтня 2024 р.

11 клас геометрія 04.10.2024

 Тема: "Перерізи многогранників."

Перегляньте відео    відео

Побудувати у зошиті перерізи многогранників запропонованих у відео.

Фото виконаної роботи надіслати у вайбер або телеграм за номером  068 065 32 70

Завдання виконати до 08.00 05.10.2024

9 клас геометрія 04.10.2024

 Тема: "Координати середини відрізка."

Перегляньте відео

Зробіть конспект. Вивчить формули!!!!!

Фото виконаної роботи надіслати у вайбер або телеграм за номером  068 065 32 70

Завдання виконати до 08.00 05.10.2024

8 клас геометрія 04.10.2024

 Тема: "Прямокутник та його властивості."

Перейдіть за посиланням https://meet.google.com/oab-btoz-acv

Презентація

Фото виконаної роботи надіслати у вайбер або телеграм за номером  068 065 32 70

Завдання виконати до 08.00 05.10.2024

6 клас математика 04.10.2024

 Тема: "Додавання та віднімання дробів з різними знаменниками."

Перейдіть за посиланням https://meet.google.com/nzk-tahp-hje

Дошка

Завдання

Фото виконаної роботи надіслати у вайбер або телеграм за номером  068 065 32 70

Завдання виконати до 08.00 05.10.2024

5 клас математика 04.10.2024

Контрольна робота на тему: "Натуральні числа. Порівняння натуральних чисел."

Перейдіть за посиланням https://meet.google.com/ssp-ycvm-zdh

Завдання

Завдання виконуємо на онлайн уроці

середа, 2 жовтня 2024 р.

6 клас математика 03.10.2024

 Тема: "Порівняння дробів. Самостійна робота."

Фото виконаної роботи надіслати у вайбер або телеграм за номером  068 065 32 70

Завдання виконати до 08.00 04.10.2024



5 клас математика 03.10.2024

 Тема: "Підготовка до контрольної роботи"

Перейдіть за посиланням https://meet.google.com/enm-hupp-upw

Завдання

Фото виконаної роботи надіслати у вайбер або телеграм за номером  068 065 32 70

Завдання виконати до 08.00 04.10.2024

вівторок, 1 жовтня 2024 р.

5 клас математика 02.10.2024

 Тема: "Порівняння натуральних чисел."

Перейдіть за посиланням https://meet.google.com/bci-kfre-vgq

 Дошка  (математика, 5 клас, урок 23)

Домашнє завдання №169, 174(1-2 ОБОВ'ЯЗКОВО у стовпчик по діям).

Фото виконаної роботи надіслати у вайбер або телеграм за номером  068 065 32 70

Завдання виконати до 08.00 03.10.2024

11 клас алгебра 02.10.2024

 Тема: "Показникові рівняння."

Перейдіть за посиланням https://meet.google.com/zmd-ejpw-cot

Дошка   (Алгебра, 11 клас, урок 5)

Завдання

Фото виконаної роботи надіслати у вайбер або телеграм за номером  068 065 32 70

Завдання виконати до 08.00 03.10.2024

9 клас алгебра 02.10.2024

 Тема: "Розв'язування числових нерівностей з однією змінною."

Перейдіть за посиланням https://meet.google.com/hen-fdpa-qzk

Дошка

Домашнє завдання:


Фото виконаної роботи надіслати у вайбер або телеграм за номером  068 065 32 70

Завдання виконати до 08.00 03.10.2024

6 клас математика 02.10.2024

 Тема: "Порівняння дробів"

Перегляньте відео

Домашнє завдання:


Фото виконаної роботи надіслати у вайбер або телеграм за номером  068 065 32 70

Завдання виконати до 08.00 03.10.2024


12.01.2026 Класна година